HCC (הקסהידרוקנבינול) – הקנבינואיד החדש בשוק אשר מציג את הצורה היציבה ביותר של THC

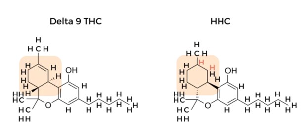
HHC נוצר לראשונה בשנת 1944 על ידי הכימאי האמריקאי רוג'ר אדמס, כאשר הוסיף מולקולות מימן ל- Delta-9 THC. תהליך זה, המכונה הידרוגנציה, הופך THC להקסהידרוקנבינול (HHC).

בין גלי הקנבינואידים הרבים שמקורם בצמח ההמפ כגון – Delta 8 THC Delta 9,  Delta 10 THC, ביניהם – מעטים חמקו מעיין הציבור כמו רכיב ה-HHC. חיפוש בגוגל על ​​התרכובת מעלה שלל מידע סותר על חוקיותה, השפעותיה על הגוף ואפילו האם היא מופיעה באופן טבעי בצמח הקנאביס.

אז בואו נעשה סדר בדברים, אלו העובדות:

HHC או בשמו העברי הקסהידרוקנבינול הינו צורה יציבה יותר של הקנבינואיד THC.

HHC  נוצר באופן טבעי בצמח הקנאביס/המפ, אך רק בריכוזים קטנים מאוד. בכדי להפכו למוצר מסחרי, חברות יצטרכו לייצר את קנבינואיד ה HCC בתהליך מעבדתי.

הקסהידרוקנבינול (HCC) עמיד בפני חום וקרינת  UV.  על ידי הוספת מולקולה באטומי מימן, חיי המדף של הקנבינואיד HCC מואריכים באופן משמעותי מבלי להשפיע בצורה ניכרת על ההשפעות הפסיכואקטיבית, בכך הוא הופך לגרסה משופרת ויציבה של טטרהידרוקנבינול (THC)..

מטפורית, ההבדל בין HCC ל THC הוא כמו ההבדל בין מרגרינה לחמאה.

כאשר THC מתחמצן, הוא מאבד אטומי מימן, ובמקום זאת נוצרים שני קשרים כפולים חדשים. התצורה שנוצרה, נקראת CBN (קנבינול), ומכילה רק כ-10% מהעוצמה הפסיכואקטיבית של ה-THC.לעומת זאת, HCC אינו מאבד מעוצמתו באותה מהירות כאשר הוא מתחמצן (נחשף לאוויר).

ברמה הכימית,, HHC  הינו THC  ללא קשרים כפולים במבנה שלו. ב- HHC, כל הקשרים הכפולים נשברו והוחלפו במימן (הידרוגנציה).

 

 

כמו בקנבינואידים אחרים שמקורם בקנאביס/המפ, הזינוק האחרון של העניין ב- HCC  אינו תואם את המחקרים המקיפים על הבטיחות וההשפעות שלו; חלק גדול מהמידע הזמין על HHC הוא ספקולטיבי. מכיוון שקנבינואידים שמקורם בהמפ (כולל HHC) אינם כפופים לתקנות קנאביס במדינות חוקיות לשימוש למבוגרים, יצרני מוצרי HHC וקמעונאים אינם נדרשים לבדוק את עוצמתם וטוהר המוצרים שלהם, ואינם כפופים לרגולציה.

 

תופעות הלוואי האפשריות של HHC כוללות:

  • חֲרָדָה
  • סְחַרחוֹרֶת
  • פה יבש
  • תיאבון מוגבר
  • נדודי שינה
  • פָּרָנוֹיָה
  • דופק מהיר
  • עיניים אדומות

 

מכיוון שקנבינואידים שמקורם בהמפ (כולל HHC) אינם כפופים לתקנות קנאביס במדינות חוקיות לשימוש למבוגרים, יצרני מוצרי HHC וקמעונאים אינם נדרשים לבדוק את עוצמתם וטוהר המוצרים שלהם.

צריכים ייעוץ בנושא טיפול בקנאביס ו-CBD לבני אדם ובעלי חיים, קבעו שיחת ייעוץ

מאמרים נוספים

כיצד טיפול בשמן CBD מסייע בחרדה

CBD לטיפול טבעי באנדומטריוזיס – האם זה באמת עובד?

"יש לכלב שלי דמנציה" אילו שיטות קיימות לכלבים וחתולים?

הבנת התפקיד של THC בטיפול בסרטן אצל כלבים וחתולים

כלבים וחתולים שמגיבים בחרדה קשה לאזעקות וקולות פיצוץ – דרכים להקלה

איך מוציאים בקשה לרישיון קנאביס רפואי – שינויים ברגולציה של 2024

לקביעת פגישה מלאו פרטיכם
שם מלא
טלפון
מייל
בחרו את סוג הפגישה
אנא בחרו תאריך ושעה
סה"כ לתשלום
לקביעת פגישה מלאו פרטיכם
שם מלא
טלפון
מייל
בחרו את סוג הפגישה
אנא בחרו תאריך ושעה
סה"כ לתשלום
דילוג לתוכן